Las personas mayores y sus familias encuentran apoyo valioso a través de servicios integrales que mejoran su bienestar.
Las personas mayores y sus familias encuentran apoyo valioso a través de servicios integrales que mejoran su bienestar.
Esta sección reúne investigaciones, análisis y evidencias que profundizan en la realidad del envejecimiento, la dependencia y los cuidados. Su propósito es ofrecer conocimiento riguroso que apoye decisiones informadas, prácticas basadas en evidencia y políticas efectivas en este ámbito.


Qué son los alimentos ultraprocesados y cómo identificarlos ...

El estudio demuestra que las unidades virtuales de hospitali...

Agrupa iniciativas, proyectos y modelos que han demostrado resultados positivos en la mejora del bienestar y autonomía de personas mayores y dependientes. Ofrece ejemplos validados que pueden inspirar, orientar y fortalecer nuevas intervenciones en el ámbito del cuidado.

Proyecto de Apoyo a Familias y Cuidadores Familiares

Atención grupal socioterapéutica/Grupos de Apoyo Emocional


Proyecto de apoyo a las familias cuidadoras de personas mayo...
El Ecosistema del Cuidado integra recursos, actores y procesos orientados a garantizar una atención integral, coordinada y centrada en las personas mayores y dependientes. Reúne información esencial para comprender, mejorar y fortalecer los sistemas de apoyo y acompañamiento.

Esta iniciativa impulsa ecosistemas locales de cuidados en l...

Este proyecto contribuye a la mejora, desarrollo y promoción...


Contiene herramientas, materiales formativos, contenidos técnicos y soluciones tecnológicas que apoyan el trabajo de profesionales, cuidadores y organizaciones. Su objetivo es mejorar la calidad, eficacia y accesibilidad de los cuidados ofrecidos a personas mayores y dependientes.

Robot asistencial que ofrece cuidados a las personas mayores...

Robot de asistencia personal dotado con inteligencia artific...


Dispositivo con inteligencia artificial que transforma cualq...
Reúne servicios públicos y privados diseñados para garantizar cuidados integrales, apoyo especializado y acompañamiento a personas mayores y dependientes. Facilita identificar opciones disponibles en distintos ámbitos para promover bienestar, seguridad y atención centrada en la persona.

Servicio del Ayuntamiento de Barcelona que combate la soleda...


Organismo público español que se encarga de las políticas pa...

Conjunto de servicios y prestaciones económicas para la auto...
Incluye normativas, marcos regulatorios, directrices y planes institucionales relacionados con los derechos, la protección y el bienestar de las personas mayores. Permite entender el contexto legal y político que estructura los sistemas de apoyo, cuidados y atención social.

Ley 39/2006, de 14 de diciembre, de Promoción de la Autonomí...

Instrumento jurídico regional que aborda de manera integral ...


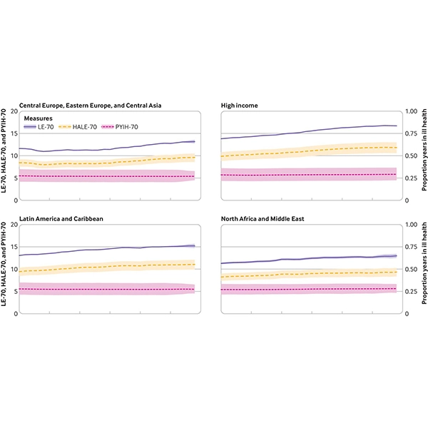
La esperanza de vida y la esperanza de vida saludable a los 70 años han continuado aumentando globalmente.
El estudio demuestra que las unidades virtuales de hospitalización pueden ayudar a manejar la fragilidad si están bien organizadas.
Qué son los alimentos ultraprocesados y cómo identificarlos dentro del marco de la clasificación NOVA.
El cerebro no cambia de forma lineal, hay cuatro edades clave en las que se transforma: ~9, ~32, ~66 y ~83 años.
Proyecto de Apoyo a Familias y Cuidadores Familiares
Recorrido gratuito en taxi para que personas mayores de centros residenciales disfen del alumbrado navideño
Personas mayores de Centro Residencial viajan a la playa a través de lo recaudado por la venta de artesanía elaborada por ellos
Programa de apoyo, formación y acompañamiento a personas cuidadoras
Conecta ciudades, comunidades y organizaciones en todo el mundo para crear territorios más amigables con las personas mayores.
Plataforma que ofrece información contrastada sobre las diversas facetas del envejecimiento.
Este proyecto contribuye a la mejora, desarrollo y promoción de la economía de los cuidados y la longevidad.
Esta iniciativa impulsa ecosistemas locales de cuidados en los municipios de Gipuzkoa.
Dispositivo con inteligencia artificial que transforma cualquier televisión en un centro de cuidados.
Andador eléctrico inteligente, convertible en silla de ruedas eléctrica, que cuenta con un sistema antideslizante y anticaída.
Robot de asistencia personal dotado con inteligencia artificial que facilita el desplazamiento de forma autónoma.
Robot asistencial que ofrece cuidados a las personas mayores sin necesidad de dejar de vivir en su domicilio.
Conjunto de servicios y prestaciones económicas para la autonomía personal, la atención y la protección a las personas dependientes.
Organismo público español que se encarga de las políticas para personas mayores, atención a la dependencia y discapacidad.
Servicio del Ayuntamiento de Barcelona que combate la soledad no deseada a través de las nuevas tecnologías.
Estrategia que define un marco integral para prevenir, detectar y abordar la soledad no deseada en España.
Reconoce y afirma los derechos de las personas mayores, especialmente aquellas que dependen de cuidados y asistencia a largo plazo.
Instrumento jurídico regional que aborda de manera integral y vinculante la protección de los derechos de las personas mayores.
Ley 39/2006, de 14 de diciembre, de Promoción de la Autonomía Personal y Atención a las personas en situación de dependencia.