Destacado

Carga mundial, regional y nacional de enfermedades y lesiones en adultos de 70 años o más: análisis sistemático para el Estudio de la Carga Mundial de Enfermedades 2019

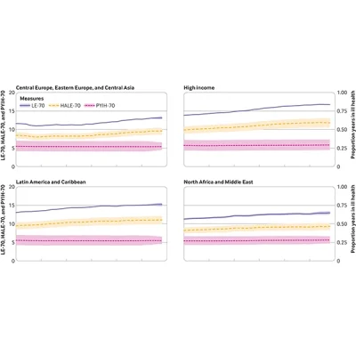
La esperanza de vida y la esperanza de vida saludable a los 70 años han continuado aumentando globalmente.

AÑO

2022

FECHA DE PUBLICACIÓN

10/03/2022

ORGANIZACIÓN

The BMJ

TIPO DE CONTENIDO

TEMA

Mortalidad

ÁMBITO GEOGRÁFICO

Unión Europea/Internacional

LUGAR DE DESARROLLO

PERFIL DEL DESTINATARIO

Carga mundial, regional y nacional de enfermedades y lesiones en adultos de 70 años o más: análisis sistemático para el Estudio de la Carga Mundial de Enfermedades 2019

BMJ 2022;376:e068208

El objetivo era describir las tendencias globales, regionales y nacionales de mortalidad, discapacidad y carga de enfermedad en adultos de 70 años o más entre 1990 y 2019, utilizando datos del Estudio de la Carga Global de Enfermedades, Lesiones y Factores de Riesgo.

Entre los principales hallazgos se incluye que la población global de mayores de 70 años ha aumentado desde 1990, reflejando el envejecimiento demográfico mundial. Las tasas de mortalidad por todas las causas han disminuido tanto en hombres como en mujeres. Esta reducción se ha dado principalmente gracias a disminuciones en las muertes por enfermedades crónicas no transmisibles (como enfermedades cardiovasculares) y otras causas. No obstante, los fallecimientos por caídas aumentaron en este grupo de edad.

La esperanza de vida y la esperanza de vida saludable a los 70 años han continuado aumentando globalmente. Esto indica que las personas mayores no solo viven más tiempo, sino que también viven más años con buena salud en comparación con décadas previas. La calidad de los sistemas de salud y los índices sociodemográficos altos se asociaron con mayores valores.

No obstante, la carga de discapacidad en adultos mayores sigue siendo alta. Los principales impulsores son: declive funcional relacionado con la edad, pérdida de visión y audición, o síntomas de dolor crónicos. Por lo tanto, muchos viven con discapacidades que afectan su calidad de vida.

En cuanto a las principales causas de muerte en mayores de 70, figuran la enfermedad isquémica del corazón (cardiopatía isquémica), accidente cerebrovascular (ictus), enfermedad pulmonar obstructiva crónica (EPOC) y otras enfermedades cardiovasculares o respiratorias crónicas también figuran entre las principales causas. Las enfermedades crónicas siguen siendo las principales causas de muerte en mayores.

Por último, el estudio resalta la necesidad de mejorar programas de salud pública, prevención y atención de discapacidades, así como de reforzar los sistemas sociosanitarios para enfrentar los retos del envejecimiento poblacional.

Carga mundial, regional y nacional de enfermedades y lesiones en adultos de 70 años o más: análisis sistemático para el Estudio de la Carga Mundial de Enfermedades 2019

Shares
Anchas_FARO

FARO Cuidando la Isla

F.A.R.O. (Fomentando el Apoyo y la Red de Orientación) desarrolla un modelo de intervención sociosanitaria y comunitaria orientado a personas mayores y colectivos vulnerables del entorno rural de Menorca, combinando neuropsicología, acompañamiento emocional, tecnología humanizada y redes vecinales de apoyo.

El proyecto presta servicios de estimulación cognitiva domiciliaria, detección preventiva de situaciones de soledad o deterioro y coordinación comunitaria de proximidad, mediante una unidad móvil especializada y herramientas de conexión social adaptadas al entorno rural y a las personas mayores.

🟠

En funcionamiento

📍

Islas Baleares

Anchas_AldeasInclusivas_AldeasInclusivas

Aldeas Inclusivas

ALDEAS INCLUSIVAS desarrolla proyectos de consultoría estratégica y diseño de ecosistemas comunitarios de vivienda y cuidados inclusivos en entornos rurales, dirigidos a personas mayores, personas con discapacidad y colectivos vulnerables.
El proyecto asesora a ayuntamientos y entidades sociales en la creación de aldeas inclusivas y modelos de desinstitucionalización, combinando accesibilidad universal, innovación social, vivienda adaptada, economía circular y revitalización del medio rural, con el objetivo de favorecer la autonomía personal, la convivencia comunitaria y la lucha contra la soledad no deseada.

🔴

En desarrollo

📍

Asturias
Anchas_Cemande

Cemande

CEMANDE desarrolla un ecosistema integral de cuidados y promoción de la autonomía personal dirigido a personas mayores y personas en situación de dependencia, combinando un Centro de Día de Autonomía Activa, atención domiciliaria, formación sociosanitaria y ayudas técnicas ubicado en Castilla La Mancha.
El proyecto integra además un Living Lab de innovación en cuidados, incorporando terapias avanzadas, realidad virtual y herramientas de estimulación cognitiva y funcional, con el objetivo de retrasar la institucionalización y favorecer la permanencia de las personas en su hogar el mayor tiempo posible.

🟠

En funcionamiento

📍

Castilla la mancha
Anchas_AldeasActivas

Aldeas Activas

Actividad orientada al diseño, gestión y explotación de ecosistemas residenciales y servicios integrales de atención preventiva para personas mayores, mediante modelos de coliving senior, atención domiciliaria y tecnología aplicada al envejecimiento activo.

🟠

En funcionamiento

📍

País Vasco, Santander, Esturias
Anchas_AntheaSenior

Anthea Senior

ANTHEA SENIOR desarrolla proyectos y servicios de cuidados comunitarios, envejecimiento activo y transformación de servicios sociales en entornos rurales, mediante modelos centrados en la persona, la comunidad y la permanencia en el entorno. Orientada a ayudar a administraciones y entidades a transformar los modelos tradicionales de atención hacia enfoques más personalizados, comunitarios y centrados en la persona.

🟠

En funcionamiento

📍

Extremadura
Anchas_QueridoMayor

Querido Mayor

QueridoMayor desarrolla una plataforma digital de organización y coordinación del cuidado domiciliario para personas mayores, conectando a familias con recursos, profesionales y servicios especializados en su entorno cercano.

El proyecto combina tecnología, orientación estructurada y una red local de proveedores verificados para facilitar el envejecimiento en el hogar de forma más segura, organizada y sostenible, reduciendo la improvisación y la sobrecarga familiar en los procesos de cuidado.

🟠

En funcionamiento

📍

Castilla la Mancha
Anchas_RedAyla

Red AYLA XXI

RED AYLA XXI es una empresa social rural especializada en dinamización cultural, memoria comunitaria y participación social en territorios despoblados, mediante programas con ayuntamientos, proyectos editoriales y producción de contenidos culturales vinculados al envejecimiento activo, la identidad territorial y la cohesión comunitaria.

🟠

En funcionamiento

📍

Castilla la Mancha